
To read the complete article, click through to the Nov./Dec. 2019 digital magazine.
When asked to describe their hair care wants and needs, consumers will rattle off all manner of terms and expressions that have become eminently recognizable to the hair product development chemist. We call these hair attributes and they represent the lexicon of our industry. On occasion, new attributes and desires may arise—perhaps based on current fashion trends, social issues or any number of other influencing factors. At the same time, a number of stalwarts have been constant in our industry for many years. One such example is hair softness.
Arguably, softness might indeed be the most frequently mentioned attribute in hair care advertising and claims. Sometimes it is called out by itself, but often it is seen in tandem with other properties; for example, soft and beautiful; soft and smooth; soft and healthy; soft and shiny, etc. Accordingly, it seems prudent to consider this topic in our continuing exploration of the science and measurement of various hair-related attributes.
To doing so, we begin by taking this term literally and discussing approaches for measurement of its antithesis—stiffness. Accordingly, we consider two measurement techniques that have not yet been discussed in this series, namely: evaluation of hair’s bending and torsional moduli.
Stiffness Comparisons
Many excellent texts summarize the truly remarkable structure of hair fibers. In brief summary, the inside of hair’s structure consists of elongated cortical cells that align parallel to the plane of the fiber, and that are embedded in a lipid-like cell membrane complex. These cortical cells have additional fine structures consisting of water-impenetrable crystalline keratin protein intermediate filaments (IFs). These reside in an amorphous keratin matrix. This whole inner structure is encased in hard, tough, scale-like structures, collectively termed the cuticle, that protect the more vulnerable interior.
When considering the 'stiffness' of a hair fiber, it is important to consider the direction and mode of deformation.
It is important to consider these basics to acknowledge the anisotropy of hair fibers and how this affects hair properties. For example, the tough cuticle layer has a significant impact on fiber bending and twisting properties but is thought to have no meaningful contribution to the extensional properties of hair. Further, when wetted, hair swells only very slightly in the longitudinal plane—as a result of the resistance provided by the IFs—but appreciable unrestricted radial swelling occurs. In short, when considering the “stiffness” of a hair fiber, it is important to consider the direction and mode of deformation.
The evaluation of an extensional stiffness, or modulus, from conventional single fiber, constant extension rate experiments has been discussed previously.1 In brief, this involves calculating the slope of the initial portion of a stress-strain curve, where an essentially linear relationship exists between these two variables. Accordingly, it becomes relatively easy to assess how variables such as product treatments, insults and/or environmental factors can alter this property.
A Plot Twist
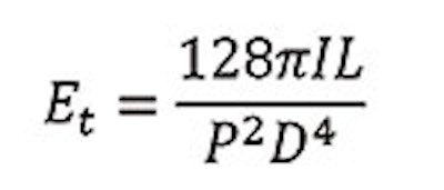
As mentioned, the cuticle structure is thought to have a bigger impact on bending and twisting (torsional) properties of hair. By means of illustration, Equation 1 gives an expression for the torsional modulus of an individual hair fiber, where Et is the torsional modulus, I is the moment of inertia, L is the fiber length, D is the fiber diameter and P is the period of oscillation. Particular attention is drawn to the power relationship between this parameter and the diameter, which illustrates how material located further from the core, i.e., the tougher outer cuticle, will have amplified effects.
Continue reading in the Nov./Dec. 2019 digital magazine...











